资产负债率失真的原因和理论分析
引 言
资产负债率是负债总额除以资产总额的百分比,它反映了在总资产中有多大比例 是通过借债取得的,可以衡量企业在清算时保护债权人权益的程度。它在评价企业的 经营状况及偿债能力中得到了广泛地应用。其计算公式如下:
所谓资产负债率失真是指其失去了原来的真实面目,可能是夸大(高估)抑或是 缩小(低估)。采用上述公式得出的计算结果在实际工作中往往并不能充分揭示企 业的经营状况及偿债能力,存在一定的失真现象。过去宅男视频下载研究资产负债率失真的原 因往往忽视了对计算公式分子、分母本身的内涵作理论分析,而且总是将研究的重 点放在分析为什么近年来我国资产负债率不断攀升,忽视了高估资产还会造成资产负 债率低估的问题。本文拟对此进行探讨,并提出解决办法。
1 失真原因的理论分析
我国国有企业的资产负债率普遍较高,许多国有工业企业的资产负债率已达到80%,其中有些企业的资产负债率已突破100%。另外,其他企业也存在这种现象。 造成这种现象的原因除了企业自身内外部原因,比如:投资者注资不足,没有真正建 立补充自有资金的机制,社会负担过重,银行信贷管理失当,产业结构不合理等外, 笔者认为一个很重要的原因在于,从理论上讲,上述计算公式(1)中分子、分母的计价基 础不一致,并存在高估资产的现象。
1.1 负债采用现时价值计价 负债包括流动负债和长期负债。我国《企业会计准则》明确规定:“各种流动负 债应按实际发生数额记帐”。由于“拨改贷”,企业流动资金主要来自于银行贷款, 对于形成的短期借款,因为这部分流动负债要计算利息,所以反映在企业短期借款或 预提费用等帐户上的这部分流动负债在偿还前就表现为计算利息后的负债总额,即为 负债的现时价值(或称现时成本、重置成本)。企业的短期应付债券也是如此。但我 国其他一些流动负债尚未计算利息,比如应付帐款,应付票据等,这些债务仍是历史 成本计价。如果将来我国也象西方一些发达国家一样,应付帐款计息或应付票据为带 息票据时(这样可以有效防止企业间三角债的无偿占用资金),这些流动负债也就表 现为现时价值。对于长期负债,由于负债计息的特殊性,如“应付债券”、“长期借 款”等的利息,也按权责发生制的原则平时增记该帐户的余额,这部分负债就考虑了 资金的时间价值,这些帐户反映的也就是现时价值。所以总体上讲,负债(分子)反 映的是其现时价值。当然,也许有人认为,在考虑资金时间价值的条件下,负债的未 来到期价值与其利息之和等同于其历史成本,但此时的负债与原始的负债等值不等 量。
1.2 资产采用历史成本计价 而对于资产(分母)而言,根据企业会计准则中的规定,采用的计价方法大体是 历史成本基础。不难看出流动资产中的存货、应收款项、长期资产中的无形资产等项 目采用的都是历史成本,而固定资产、在建工程等大体上(只有当其贷款建造时,建 设期的利息才计入资产价值)也是采用的历史成本。
1.3 计价不同对资产负债率的影响 采用现时价值的分子与采用历史成本的分母相除,得出的结果自然偏高或偏低。 其偏高或偏低的程度大致可以这样估计。
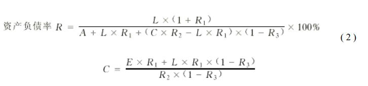
假定某工业企业期初的资产额为A,负债额为L,则所有者权益额为E。负债的年 平均利息率为R1,利息费用全部计入期间费用,企业的销售利润率为R2,所得税率为 R3。假定不考虑借入新的负债等其他条件,期末的负债总额为L×(1+R1),若要保 持原有的资产负债率不变,资产总额必须为A×(1+R1),所有者权益必须为E×(1+ R1),此时的年销售额则必须为C。
因为,A×(1+R1)=L×(1+R1)+E×(1+R1),又根据静态会计等式与动态会计等式之间的关系,考虑了缴纳所得税后,得:
A×(1+R1)=A+L×R1+(C×R2-L×R1)×(1-R3), E×(1+R1)=E+(C×R2-L×R1)×(1-R3)
①若实际销售额为S,当(S×R2-L×R1)≥0时,其期末税后会计等式为:[A+L×R1+(S×R2-L×R1)×(1-R3)]=[L×(1+R1)]+[E+(S×R2-L×R1)×(1-R3)],此时,
由(2)、(3)式知,若S小于C,企业的资产负债率就上升,反之,企业的资产负债率 就下降。其上升或下降的幅度为(3)式-(2)式,即:
即当销售利润抵减债务利息后的税后利润的增长而引起的期末资产增长率R4= [A+L×R1+(S×R2-L×R1)×(1-R3)]÷A-1小于负债的年平均利息率R1时,就 会造成期末资产负债率的上升,而且此时一般不会导致资产负债率大于100%,因为只 有当:
L×(1+R1)≥A+L×R1+(S×R2-L×R1)×(1-R3)
即R1>[A×(1+R4)÷L-1]时,才会出现资产负债率大于100%的现象。另外当R4 大于R1时,还会造成期末资产负债率的下降。
②若实际销售额为S,当(S×R2-L×R1)<0时,其期末税后会计等式为:
[A+L×R1+(S×R2-L×R1)]=[L×(1+R1)]+[E+(S×R2-L×R1)]
此时的资产负债率R为:
资产负债率R=L×(1+R1)/A+L=R1+(SXR2-LXR1)X100%
由式(4),若L×(1+R1)≥A+L×R1+(S×R2-L×R1) (5)
当销售额S≤LX(1=R1)-Q/R2时,因企业过度负债,销售利润不足以抵减债 务利息而引起期末资产减少时,就会造成期末资产负债率的上升,甚至会出现资产负 债率大于100%。
为什么长期以来人们忽视了这个问题呢?首先,我国过去不太重视资产负债率指 标的考核。其次,在进行经济指标的加减运算时,才要求其数值是同质的,而进行乘 除运算时则不一定要求同质,所以,一直忽视了该指标分子、分母的同质问题。但随 着经济体制的改革,国有企业“拨改贷”,使得企业负债大大增加,造成企业资产负 债率上升,使这一矛盾就越来越明显。宅男视频下载认为,资产负债率作为一个反映企业总体 资产与负债特性效果的指标,这种不同质是不妥的。
1.4 高估资产对资产负债率的影响 在一些存在严重潜亏的企业里,采用该公式(1)计算的资产负债率又往往偏低。 如:流动资产中“待处理流动资产损失”、“待摊费用”中长期未摊的部分都属于潜 亏因素,对于这些损失和费用企业根本无法用于清偿债务;“存货”中的盘亏毁损部 分若一直得不到及时处理,还会使得存货虚置;“应收帐款”中的长期挂帐大大超过 坏帐准备而未作调整;长期资产中“长期投资”中无法收回的部分等等,诸如此类都 形成了“虚资产”,使得(1)式中分母值高估,最终导致资产负债率低估。
2、失真的对策
通过以上分析可以知道,正是由于这两方面的因素造成资产负债率不能如实揭示 企业资产负债状况,不能准确衡量企业在清算时保护债权人的程度。所以,笔者认为 应从两方面着手改进:①统一公式中分子、分母的计价,统一采用历史成本或现时价 值。若分子采用现时价值计价,对分母(资产)的项目尤其是长期资产中的一些项 目,受资金时间价值及物价水平变动的影响,加上使用期限较长,其原始成本与现时 价值可能相差甚远,以此为前提所反映的企业的财务状况真实性必然受到影响,建议 采用适当的方法重估资产价值,以得出现时价值并与分子的计算基础相一致。②加强 对企业的审计工作,尤其对资产负债表项目数据的真实性、合法性严加把关,该调整
相关资讯
推荐产品
- PA612尼龙丝
PA612宅男视频污版是尼龙系列中高端和高性能的产品; 具有出色的弯曲回复性和耐磨性,比PA610更好的耐化学性和更低吸水性,回弹性强,是极佳的弹性记忆体,耐磨,耐疲劳,使用寿命长; 适用于牙刷、指甲油刷、化妆刷和玻璃镜面抛光工业刷等高端刷制品;
- PBT盘线宅男视频污版
PBT宅男视频污版是尼龙系列宅男视频污版的经济替代品; 具有优良的弯曲回复性和耐化学性,韧性强,耐疲劳性好,并且由于耐酸性好、吸湿率低,适用于有硬度要求及酸度较高的工作环境; 适用于牙刷、扫地机吸尘器刷、化妆刷、日用清洁刷以及工业刷;
- 抗紫外线宅男视频污版
广州宅男视频下载所生产的抗紫外线宅男视频污版采用优质尼龙原材料生产,添加了进口抗UV材料与原材料均匀混合,抗紫外线性能优异,能够适应户外长时间作业,宅男视频污版不易老化和褪色,大大延长了宅男视频污版的使用寿命。
- 防静电PBT宅男视频污版
提供普通和永久性级别的防静电宅男视频污版,宅男视频污版表面电阻率保持在10^8~10^10Ω,采用优质防静电材料生产,可赋予宅男视频污版表面一定的润滑性,降低摩擦系数,防止静电产生和积累,保护电子电路板设备和工作环境安全。防静电宅男视频污版还可以避免梳丝和头发摩擦产生静电,提升消费者使用体验,主要应用于头梳、电子电路板清洁刷、机柜毛刷和特殊防静电工业刷等。
- PBT宅男视频污版
PBT宅男视频污版是尼龙系列宅男视频污版的经济替代品; 具有优良的弯曲回复性和耐化学性,韧性强,耐疲劳性好,并且由于耐酸性好、吸湿率低,适用于有硬度要求及酸度较高的工作环境; 适用于牙刷、扫地机吸尘器刷、化妆刷、日用清洁刷以及工业刷;
- PA610牙刷宅男视频污版
宅男视频下载牙宅男视频污版具有绝佳的柔韧性、耐磨和卓越的回弹性等特点,可根据不同人群定制直径,结合20多年的生产经验和严格的标准,具备稳定、长效的抗菌效果,通过美国FDA及欧盟LFGB检测认证,不含有害元素,为不同年龄和牙齿敏感人群提供健康保护。
同类文章排行
- 聚丙烯宅男视频污版应用范围[宅男视频下载]
- 清雪刷片用宅男视频污版,高速运转耐磨不变形[宅男视频下载]
- 尼龙宅男视频污版小知识[宅男视频下载]
- 什么塑料丝弹性好?[宅男视频下载]
- 塑料宅男视频污版的种类和用途,实力厂家教您如何选择[宅男视频下载]
- pa66宅男视频污版批发,免费打样,个性定制[宅男视频下载]
- 耐高温宅男视频污版180度
- 导电宅男视频污版是用什么宅男视频污版
- 奶瓶宅男视频污版用哪种塑料丝---宅男视频下载
- 抛光宅男视频污版的用处和质量[宅男视频下载]
最新资讯文章
- 聚丙烯宅男视频污版应用范围[宅男视频下载]
- 清雪刷片用宅男视频污版,高速运转耐磨不变形[宅男视频下载]
- 尼龙宅男视频污版小知识[宅男视频下载]
- 什么塑料丝弹性好?[宅男视频下载]
- 塑料宅男视频污版的种类和用途,实力厂家教您如何选择[宅男视频下载]
- pa66宅男视频污版批发,免费打样,个性定制[宅男视频下载]
- 耐高温宅男视频污版180度
- 导电宅男视频污版是用什么宅男视频污版
- 奶瓶宅男视频污版用哪种塑料丝---宅男视频下载
- 抛光宅男视频污版的用处和质量[宅男视频下载]
您的浏览历史














